Stromgestehungskosten 2026: Der umfassende Leitfaden
Während sich die weltweite Energielandschaft rasant wandelt, wird das Verständnis der wirtschaftlichen Rentabilität verschiedener Energiequellen immer wichtiger. Ob Eigenheimbesitzerin und Eigenheimbesitzer in Berlin mit dem Plan, eine Photovoltaikanlage zu installieren, oder Investor, der Windparks in der Nordsee bewertet – eine Kennzahl steht im Mittelpunkt: die Stromgestehungskosten.
In diesem Leitfaden erfahren Sie alles, was Sie 2026 über die Stromgestehungskosten wissen müssen, um fundierte Entscheidungen in einer zunehmend grünen Energieökonomie zu treffen.
Was sind Stromgestehungskosten?
Die Stromgestehungskosten (Levelized Cost of Electricity, LCOE) geben an, welche durchschnittlichen Einnahmen pro erzeugter Kilowattstunde erforderlich sind, um die gesamten Kosten für Bau und Betrieb einer Stromerzeugungsanlage über ihre wirtschaftliche Lebensdauer zu decken.
Einfach gesagt, handelt es sich um den „Break-even“-Preis der Energie. Die
ermöglichen einen direkten Vergleich unterschiedlicher Technologien zur Stromerzeugung, etwa zwischen Solarenergie, Windkraft und Gaskraftwerken. Auf diese Weise werden komplexe Investitions- und Betriebskosten auf eine einheitliche Kennzahl reduziert, die in Euro pro Megawattstunde (MWh) ausgedrückt wird.
Warum sind die Stromgestehungskosten wichtig?
In einem Land wie Deutschland, in dem die Energiewende seit Jahren konsequent vorangetrieben wird, dienen die Stromgestehungskosten als zentrale Orientierungsgröße für Politik und Investitionen. Sie verlagern den Fokus von reinen Installationskosten hin zu einer ganzheitlichen Betrachtung der energieökonomischen Zusammenhänge.
1. Faire Vergleichbarkeit verschiedener Energietechnologien
Der Vergleich eines Solarparks mit einem Kohlekraftwerk ist schwierig, da die Kostenstrukturen grundlegend unterschiedlich sind. Solarstrom verursacht hohe Anfangsinvestitionen, jedoch keine Brennstoffkosten. Kohlekraftwerke sind in der Errichtung günstiger, verursachen jedoch laufende Brennstoffkosten sowie Kosten aus der CO₂-Bepreisung. Die Stromgestehungskosten schaffen hier eine gemeinsame Grundlage, auf der sich die tatsächlichen Gesamtkosten über einen Zeitraum von 25 Jahren vergleichen lassen.
2. Abbildung der tatsächlichen Lebenszykluskosten
Die Stromgestehungskosten berücksichtigen sämtliche Aufwendungen von der ersten Bauphase bis hin zum Rückbau einer Anlage. Diese langfristige Perspektive ist entscheidend, um sicherzustellen, dass Energieprojekte über ihre gesamte Lebensdauer wirtschaftlich tragfähig bleiben.
3. Mehr als nur Anschaffungs- und Strompreise
Auch wenn die Anschaffungskosten eines Solarwechselrichters zunächst hoch erscheinen, können die Stromgestehungskosten niedrig ausfallen, weil das System über Jahrzehnte nahezu kostenlose Energie liefert. Dadurch können Unternehmen und Privatpersonen kurzfristige Preisschwankungen am Markt ignorieren und sich auf den langfristigen, strukturellen Wert konzentrieren.
4. Grundlage für fundierte Investitions- und Politikentscheidungen
Regierungen nutzen die Stromgestehungskosten, um zu entscheiden, welche Technologien Förderungen oder steuerliche Vorteile erhalten sollen. Für private Haushalte ist sie eine wichtige Kennzahl, um zu prüfen, ob autarke Solaranlagen langfristig günstiger sind als der Strombezug aus dem öffentlichen Netz.

Welche Kosten fließen in die Stromgestehungskosten ein?
Um die Stromgestehungskosten präzise zu berechnen, müssen verschiedene Variablen in die Kalkulation einbezogen werden. Es geht dabei nicht nur um den Anschaffungspreis, sondern um den Kapitalfluss über die gesamte Lebensdauer einer Anlage hinweg.
Investitionskosten (CAPEX)
Hierzu zählen alle Anfangsinvestitionen, einschließlich der Kosten für Ausrüstung, Grundstück und Bau. Der Kapitalbedarf in dieser Phase fließt maßgeblich in die Berechnung der Stromgestehungskosten ein.Betriebs- und Wartungskosten (O&M)
Dazu gehören regelmäßige Reinigungen von Solarmodulen, die Instandsetzung von Windturbinenblättern sowie Personal- und Verwaltungskosten. Diese laufenden Ausgaben beeinflussen die Wirtschaftlichkeit einer Anlage während ihres Betriebs.Brennstoffkosten (sofern relevant)
Für Kraftwerke auf Basis von Gas oder Kohle fallen erhebliche Brennstoffkosten an. Bei erneuerbaren Energien wie einer Solaranlage mit Speicher oder Windkraft entfallen diese Ausgaben vollständig, was sich direkt in den Stromgestehungskosten widerspiegelt.Finanzierung und Diskontierungszinssatz
Die Kosten für Fremdkapital und der Zeitwert zukünftiger Erträge spielen eine zentrale Rolle. Sie bestimmen, wie zukünftige Einnahmen im heutigen Wert abgebildet werden und wirken sich somit auf die kalkulierten Stromgestehungskosten aus.Lebensdauer des Systems und Gesamtstromerzeugung
Entscheidend ist, wie viele Kilowattstunden (kWh) eine Anlage im Laufe ihrer Lebenszeit realistisch erzeugen kann, bevor sie außer Betrieb genommen wird.
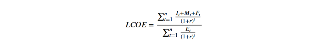
Wie werden die Stromgestehungskosten berechnet?
Die Berechnung der Stromgestehungskosten erfordert eine Formel, die alle über die Lebensdauer anfallenden Gesamtkosten der Anlage den erzeugten Energiemengen gegenüberstellt und dabei den Zeitwert des Geldes berücksichtigt.
Formel zur Berechnung der Stromgestehungskosten (LCOE)
Die Standardformel für die Levelized Cost of Electricity (LCOE) lautet:

Erläuterung der verwendeten Parameter
• Iₜ: Investitionsausgaben im Jahr t
• Mₜ: Ausgaben für Betrieb und Wartung im Jahr t
• Fₜ: Brennstoffkosten im Jahr t
• Eₜ: Stromerzeugung im Jahr t (kWh/MWh)
• r: Diskontierungszinssatz
• n: Erwartete wirtschaftliche Lebensdauer des Systems in Jahren
Zentrale Annahmen bei der Berechnung der Stromgestehungskosten
Die meisten Berechnungen der Stromgestehungskosten basieren auf angenommenen Leistungswerten und nicht auf real gemessenen Betriebsdaten, was zu Abweichungen gegenüber der tatsächlichen Wirtschaftlichkeit führen kann. So kann etwa eine Photovoltaikanlage im Raum München durch unerwartete Verschattung oder Verschmutzung deutlich weniger Energie erzeugen als ursprünglich kalkuliert.Um diese Lücke zwischen theoretischen Modellen und realem Anlagenbetrieb zu schließen, ist ein intelligentes Monitoring unverzichtbar. Lösungen wie das EcoFlow PowerInsight 2 ermöglichen es, die tatsächliche Stromproduktion, die Systemeffizienz und das Lastverhalten in Echtzeit zu verfolgen. Auf Basis dieser Realdaten lassen sich die Annahmen für die Stromgestehungskosten fortlaufend präzisieren, sodass die finanziellen Prognosen möglichst nahe an den späteren Kontobewegungen von Betreiberinnen und Betreibern liegen.

Die Stromgestehungskosten verschiedener Energiequellen
Mit Blick auf das Jahr 2026 hat sich die Kostenstruktur der Stromerzeugung deutlich verschoben. Erneuerbare Energien behaupten sich weiterhin als die kostengünstigsten Optionen für den Neubau von Stromerzeugungsanlagen und drücken die durchschnittlichen Stromgestehungskosten deutlich nach unten.
| Energiequelle | Trend der Stromgestehungskosten | Zentrale Merkmale |
|---|---|---|
| Solar-Photovoltaik (PV) | Am niedrigsten | Schnell sinkende Kosten, hohe Skalierbarkeit im Hausbereich. |
| Windenergie | Sehr niedrig | Besonders geeignet für Küstenregionen wie Norddeutschland. |
| Wasserkraft | Mittel | Zuverlässige Grundlast, jedoch hohe anfängliche Investitionen. |
| Erdgas | Schwankend | Stark abhängig von der Entwicklung der weltweiten Brennstoffpreise. |
| Kohlekraft | Hoch | Zunehmend teurer durch CO₂-Preise und strengere Umweltauflagen. |
| Kernenergie | Hoch | Niedrige Brennstoffkosten, aber sehr hohe Bau- und Rückbaukosten. |
Was ist der Unterschied zwischen LCOE und LCOS?
Während die Stromgestehungskosten (LCOE) die Erzeugungskosten von Strom abbilden, rückt mit dem Ausbau erneuerbarer Energien zunehmend auch die Speicherung in den Fokus. Hier setzt die Kennzahl Levelized Cost of Storage (LCOS) an, die die Wirtschaftlichkeit von Speicherlösungen bewertet.
Unterschied im Betrachtungsschwerpunkt
Die Stromgestehungskosten (LCOE) konzentrieren sich auf die Kosten, die entstehen, um eine bestimmte Menge elektrischer Energie zu erzeugen. LCOS hingegen beschreibt die Kosten, die anfallen, um eine Einheit Energie zu speichern und zu einem späteren Zeitpunkt wieder ins Netz oder ins Hausenergiesystem abzugeben.
Ob Energie erzeugt oder nur verschoben wird
LCOE wird auf Erzeugungsanlagen angewendet, zum Beispiel auf Photovoltaikmodule oder Windturbinen. LCOS bezieht sich auf Speichersysteme wie Batteriespeicher oder Pumpspeicherkraftwerke, die selbst keine Energie erzeugen, sondern Energie zeitlich verschieben und damit die Nutzung erneuerbarer Erzeugung flexibilisieren.
Berücksichtigung von Effizienzverlusten
Bei jedem Be- und Entladen eines Speichers gehen aufgrund von Umwandlungsverlusten Teile der Energie als Wärme verloren. LCOS berücksichtigt diese Verluste über den sogenannten Rundlaufwirkungsgrad, während LCOE primär die erzeugte Energiemenge am Ausgang der Erzeugungsanlage betrachtet. Um diese Verluste zu minimieren und die Gesamtkosten zu senken, spielt die Wahl der Hardware eine zentrale Rolle. Systeme wie der EcoFlow PowerOcean DC Fit setzen auf eine effiziente, gekoppelte Integration von Batteriespeichern in bestehende PV-Anlagen und vermeiden dadurch unnötige AC/DC-Umwandlungsschritte, was die effektiven Speicherkosten senkt.
Bedeutung der Zyklenlebensdauer
LCOS hängt in hohem Maß davon ab, wie oft ein Speicher be- und entladen werden kann, bevor seine Kapazität deutlich nachlässt. Jede zusätzliche Vollzyklenzahl verteilt die Investitionskosten auf mehr gespeicherte und bereitgestellte Kilowattstunden. LCOE ist dagegen stärker von der mechanischen oder baulichen Lebensdauer der Erzeugungsanlage und deren jährlicher Stromproduktion abhängig.
Typische Anwendungsfälle
LCOE: Wird verwendet, um zu entscheiden, ob der Bau eines Solarparks oder eines Gaskraftwerks wirtschaftlich günstiger ist.
LCOS: Wird genutzt, um zu bewerten, ob die Integration eines Batteriespeichers im eigenen Haushalt wirtschaftlich vorteilhafter ist als die Einspeisung überschüssigen Stroms ins öffentliche Netz gegen Einspeisevergütung.
Vereinbaren Sie Ihren kostenlosen Beratungstermin!
Für welches Produkt oder welches System interessieren Sie sich?



Häufig gestellte Fragen
1. Was ist der Unterschied zwischen LCOE und Strompreis?
LCOE beschreibt die Kosten, zu denen Strom direkt an der Erzeugungsquelle produziert wird. Der Strompreis hingegen ist der Endkundenpreis, den Haushalte an ihren Energieversorger zahlen.
In Deutschland liegen die Stromgestehungskosten von Photovoltaikanlagen im Eigenheimbereich häufig unter 10 ct/kWh, während der Strompreis aus dem Netz, etwa bei Anbietern wie E.ON, meist bei 30 bis 35 ct/kWh liegt. Dieser Unterschied ergibt sich unter anderem aus Netzentgelten sowie Steuern und Abgaben.
Mit Blick auf das Jahr 2026 zielt die Reform der Netzentgelte darauf ab, flexiblen Stromverbrauch stärker zu belohnen. Haushalte mit intelligenten Energiemanagementsystemen können davon profitieren, indem sie Strom gezielt dann nutzen, wenn die eigenen Stromgestehungskosten besonders niedrig sind, zum Beispiel während hoher PV-Erzeugung. Im Vergleich zu reinen Netzbeziehern lassen sich so deutlich höhere relative Einsparungen erzielen.
2. Welche Energiequelle hat die niedrigsten Stromgestehungskosten?
Im Jahr 2026 zählen großskalige Photovoltaikanlagen und Onshore-Windenergie in Deutschland zu den kostengünstigsten Formen der Stromerzeugung.Studien, unter anderem vom Fraunhofer ISE, zeigen, dass diese erneuerbaren Technologien Stromgestehungskostenerreicht haben, mit denen fossile Energieträger kaum noch konkurrieren können. Steigende CO₂-Zertifikatspreise verteuern insbesondere Kohle- und Gaskraftwerke zusätzlich. So erzeugen Solarparks in südlichen Regionen wie Bayern Strom bereits für etwa 4,1 bis 5,5 ct/kWh. Damit sind erneuerbare Energien zu einer der wirtschaftlich tragfähigsten Säulen der deutschen Energiewende geworden.
3. Berücksichtigen LCOE auch die Kosten für Stromspeicherung?
Die klassische Berechnung der LCOE umfasst in der Regel keine Energiespeicher. Sie misst ausschließlich die Kosten der Stromerzeugung, etwa zu Zeiten hoher Sonneneinstrahlung.
Soll bewertet werden, wie teuer rund um die Uhr verfügbarer Strom ist, wird die Analyse um die Kennzahl LCOS ergänzt. In diesem Zusammenhang wird häufig die Kombination aus LCOE und LCOS betrachtet.
In Deutschland, wo der Eigenverbrauch für viele Haushalte im Mittelpunkt steht, liegen die kombinierten Erzeugungs- und Speicherkosten eines Systems aus Photovoltaik und EcoFlow Solarbatterie typischerweise bei 10 bis 12 ct/kWh. Trotz der höheren Kosten im Vergleich zur reinen PV-Erzeugung bleibt diese Lösung deutlich günstiger als der vollständige Strombezug aus dem Netz. Hocheffiziente Systeme wie der EcoFlow PowerOcean DC Fit tragen dazu bei, Umwandlungsverluste zu minimieren und die effektiven Speicher- und Gesamtkosten niedrig zu halten.
4. Wie hoch sind die Stromgestehungskosten von Solarstrom?
Die Stromgestehungskosten von Solarstrom in Deutschland hängen stark von der Anlagengröße und der lokalen Sonneneinstrahlung ab. Diese variiert regional deutlich und liegt ungefähr zwischen 950 kWh/m² im Norden und 1.300 kWh/m² im Süden.
Kraftwerksmaßstab (Freiflächenanlage): zwischen 4 und 6 ct/kWh
Gewerbliche Dachanlage: zwischen 6 und 9 ct/kWh
Kleine private Dachanlage: zwischen 8 und 11 ct/kWh
Trotz der geplanten Degression der Einspeisevergütung im Rahmen der aktuellen EEG-Updates 2023/2026 bleibt Photovoltaik wirtschaftlich attraktiv. Da die staatliche Vergütung für die Netzeinspeisung schrittweise sinkt, hat sich der finanzielle Fokus 2026 zunehmend vom Stromverkauf hin zur Maximierung des Eigenverbrauchs verlagert. Dadurch wird der LCOE der eigenen Dachanlage zu einer besonders wichtigen Kennzahl für die finanzielle Haushaltsplanung.
Fazit
Ein grundlegendes Verständnis von LCOE ist entscheidend, um die Zukunft der Energieversorgung sicher zu gestalten. Wer über den reinen Anschaffungspreis hinausblickt und die gesamten Lebenszykluskosten betrachtet, erkennt, dass der Ausbau erneuerbarer Energien nicht nur eine ökologische, sondern ebenso eine wirtschaftlich sinnvolle Entscheidung ist.
Ganz gleich, ob eine gewerbliche PV-Anlage optimiert oder ein privates Backup-System geplant wird: Der Einsatz hocheffizienter Hardware in Kombination mit Echtzeit-Monitoring ist der beste Weg, die eigenen LCOE langfristig auf einem möglichst niedrigen Niveau zu halten.